Flying Like Leonardo Envisioned … In the Classroom!
Did you know you can fly a Tello drone using Texas Instruments graphing calculators? This new feature allows you to bring flying to the classroom. Using flight and drone technology offer many opportunities for delivering the curriculum. In addition to building math skills, teachers could work on centre of gravity, Newton’s Second Law, air resistance, Bernoulli’s Principle, or ethical issues around drone use. And how about the fact that Leonardo da Vinci invented three flying machines like the drone 500 years ago?
Today, flying is taken for granted following the first heavier-than-air flight by Wilbur and Orville Wright in 1903. The journey to modern flying machines has been long, but today’s students are able to enjoy the excitement of building models and controlling helicopter drones using wireless technology and the art of programming in the classroom! The only requirements are a TI-Nspire™ CX II-T or TI-84 Plus CE-T Python Edition graphing calculator, a Tello drone, a BBC micro:bit and a Wi-Fi module.

Understanding the principles of flying
Over 500 years ago, Leonardo da Vinci laid the foundations for what we see today when we work on flying a drone. Da Vinci described three flying machines: the hang glider, parachute and helicopter. His quest is a great opportunity to apply in the classroom. For instance, students can consider the real power output necessary to fly a helicopter capable of lifting a person and then relate this to the known power output of a human.
A plane in steady horizontal flight does not rotate and, as the centre of gravity is fixed, the only way to alter course is to change the centre of resistance by altering the flying surfaces (ailerons). Da Vinci achieved this by shifting the pilot (,see below in figure 1), as in a modern hang glider. Students can alter the position of the centre of gravity of a paper plane by simply sliding a paper clip (weighted if necessary) along the fuselage of the plane. The plane is then dropped, not thrown, to explore the distance the plane glides with position of the paper clip relative to one end.
Simply drawing the parallels between da Vinci’s three machines and those of today would be a student exercise. A timeline of the history of flight starting with da Vinci and perhaps including the Montgolfiers, Cayley, Lilienthal and the Wrights might be worthwhile. For now, let’s focus on da Vinci’s discoveries.
Leonardo da Vinci preoccupied by dreams of flight
Da Vinci was born 15 April 1452 in the town of Vinci, Tuscany. Dreamer, philosopher, mathematician, scientist, technician, artist, musician and engineer. Arguably the greatest STEM practitioner of the late 15th and early 16th century. He was a product of his environment and the society he grew up in. In that sense, his prodigious intellect was not an accident, but simply something waiting to happen. Da Vinci’s technical mastery of painting and architecture brought him into close contact with mathematics and science.
Dreams of flight preoccupied da Vinci for 25 years. The ‘Mona Lisa’ was created during this period which may explain the dream-like quality of the picture! He brought none of his imagined flying machines to fruition because at the time there was no way of providing the necessary motive power or the materials. This did not stop him from describing the necessary attributions of the hang glider, helicopter and parachute. Nor has it stopped the proliferation of myths around the possible test flight of his flying machine.
The hang glider
It was the position of the centre of gravity of the body which da Vinci realised would enable the pilot to alter course and take advantage of air currents. My own experience with hang gliders convinces me that da Vinci was right to consider the centre of gravity as of prime importance because altering course, ascending and descending is all about moving one’s own body relative to the machine itself by pulling, pushing or sliding sideways a control bar (the A frame) in front of the pilot. This A frame in a modern hang glider is connected to the ‘centre of resistance’ as described in figure 1 by da Vinci.


His craft (figure 2) was designed to flap the wings, whereas the modern hang glider is designed to flex. Da Vinci applied principles from the construction of a balance to his flying machine. He realised for example that the centre of gravity should be below the point of suspension, not above or at the point as this would lead to instability.
A modern hang glider is constructed of high-tensile aluminium tubing which provides the necessary lightness and strength, and which was not available to da Vinci, yet he knew perfectly well that the machine had to be constructed of the lightest and strongest materials available (figure 3).

The parachute
Many historians consider that da Vinci may have been the first person in history to have conceived of the idea of using a canopy to control one’s descent through the air. It is possible that da Vinci made small models of such a parachute (see figure 4). This would involve scaling up the weight and the relative dimensions of the parachute. Da Vinci knew that that the cross section would be proportional to the weight. If his model of say 200g needed a canopy of 1/8 m2, then a body of 80 Kg will need a canopy 400 times the area or 50 m2.

In fact, da Vinci had recommended the square cross section to be about 50 m2 which is about the same as modern parachutes. In the year 2000, Adrian Nichols tested the design using materials available in the 15th century and declared that it worked! We now know that da Vinci may have copied Mariano di Jacopo, 70 years his senior. Di Jacopo himself may have copied Abbas Ibn Firnas who is reputed to have jumped from the Cordoba Mosque in 852 and lived to tell the tale!
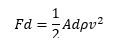
Air resistance arises from the simple fact that air must be pushed out of the way with a force (F). Assume that the air pushed ahead of the falling parachute is given the same velocity as the parachute. If the parachute cross section is A and it descends d meters in one second at terminal velocity v we have
Work done = Energy transferred = Kinetic Energy of the air moved out of the way
where ρ is the density of the air.
The distance d cancels, and A and ρ are constants, so very approximately,
In other words, the air resistance should be proportional to the square of the speed (velocity).
Somehow da Vinci knew this. Otherwise, how would he have postulated the size of the parachute to be about 50 m2? Any size would have worked, but only more than 50 m2 would land the parachutist at a safe terminal velocity!

The helicopter
Did da Vinci watch sycamore seeds descending and extend the idea of the sycamore seed blades to that of a continuous screw which appears to be the forerunner of the propellor or airscrew? We do not know, but the notion of a pilot cranking a handle to rotate the screw and so move air downwards is captivating. The rate at which a mass of air is propelled downwards must equal or exceed the weight of the craft and pilot. This expresses the idea that the rate of change of momentum of the air mass thrust downwards must equal the weight of the machine (F=ma, Newton’s Second Law).
This of course had to wait for 200 years until Newton published the ‘Principia.’ The necessary motive power to shift air at the required rate was simply unavailable to da Vinci and the inevitable human rotating pulleys and pulling levers was simply insufficient.
Did you know that da Vinci’s observation of the ‘great bird’ led to applying this title to the space shuttle Atlantis?
It will make the first flight,
being launched from the peak of Mount Cecero,
this great bird,
filling the universe with awe,
filling all writings with its fame,
and eternal glory to the nest where it was born.
— Leonardo da Vinci, ‘Codex on the Flight of Birds’
It will make the first flight,
being launched from the peak of Mount Cecero,
this great bird,
filling the universe with awe,
filling all writings with its fame,
and eternal glory to the nest where it was born.
— Leonardo da Vinci, ‘Codex on the Flight of Birds’
More information and activities
Flight resources
T3 Europe instructor Hans Martin Hilbig has already flown the TI-Innovator™ Rover using a drone — read the blog and check out the activity — so perhaps we will see more students applying these ideas to projects. They only need imagination!
Air resistance resources
Falling Object Under Air Force Resistance
Capturing Data: Modelling and Interpretation (page 26 of PDF)
Drone regulations
Europe regulations on civil drones
Sources: Images of codex pages courtesy of Ministry of Cultural Heritage, Activities and Tourism; Regional Administration for the Cultural Heritage of the Piemonte; Biblioteca Reale, Turin, Italy. Unofficial English translation prepared by Culturando and Smithsonian Institution.